Obmedzená prevádzka 21.–22. 5.
Vážení zákazníci, z prevádzkových dôvodov bude náš e-shop v dňoch 21. a 22. mája nedostupný. Od 23. mája sme opäť plne k dispozícii. Ďakujeme za pochopenie.
Automatická tlaková stanica ATS PUMPA 1 EH 15/4 TE 400V, verzia s frekvenčným meničom NEO ZB00046145
Kód: 51737Podrobný popis
Použite
- hotely, penzióny
- obytné domy
- priemyselné podniky, nemocnice, školy
- zavlažovacie systémy atď.
Výhody
- Zabezpečenie požadovaného množstva vody pri konštantnom tlaku
- Odnímateľný ovládací panel na frekvenčnom meniči zabezpečuje jednoduché nastavenie a obsluhu ATS
- Frekvenčné meniče poskytujú kompletnú ochranu a riadenie ATS
- Priestorovo úsporný a kompaktný dizajn
- menu frekvenčného meniča v angličtine
- automatická tlaková stanica obsahuje 1 horizontálne odstredivé čerpadlo z nehrdzavejúcej ocele zapojené paralelne
- konštrukčné prvky, ktoré sú v kontakte s čerpanou kvapalinou, sú vyrobené z
- nehrdzavejúcej ocele AISI 304
Zloženie zostavy ATS
- 1 horizontálne viacstupňové čerpadlo z nehrdzavejúcej ocele
- 1 ks frekvenčného meniča (krytie IP 65) s odnímateľným LCD displejom
- 1 ks snímača tlaku
- Uzatváracie ventily so spätným ventilom na strane sania
- uzatváracie ventily na strane výtlaku
- Vstupné a výstupné potrubie z nehrdzavejúcej ocele
- Základný rám
- Celonerezový manometer naplnený glycerínom
- 1 tlaková nádoba GWS 24 litrov
- Hlavný rozvádzač - krytie IP 65
Dodatočné parametre
| Kategória: | Automatické tlakové stanice |
|---|---|
| Záruka: | 24 |
| Hmotnosť: | 5 kg |
| EAN: | 8596455025177 |
| Maximálny prietok (l/min): | 400 |
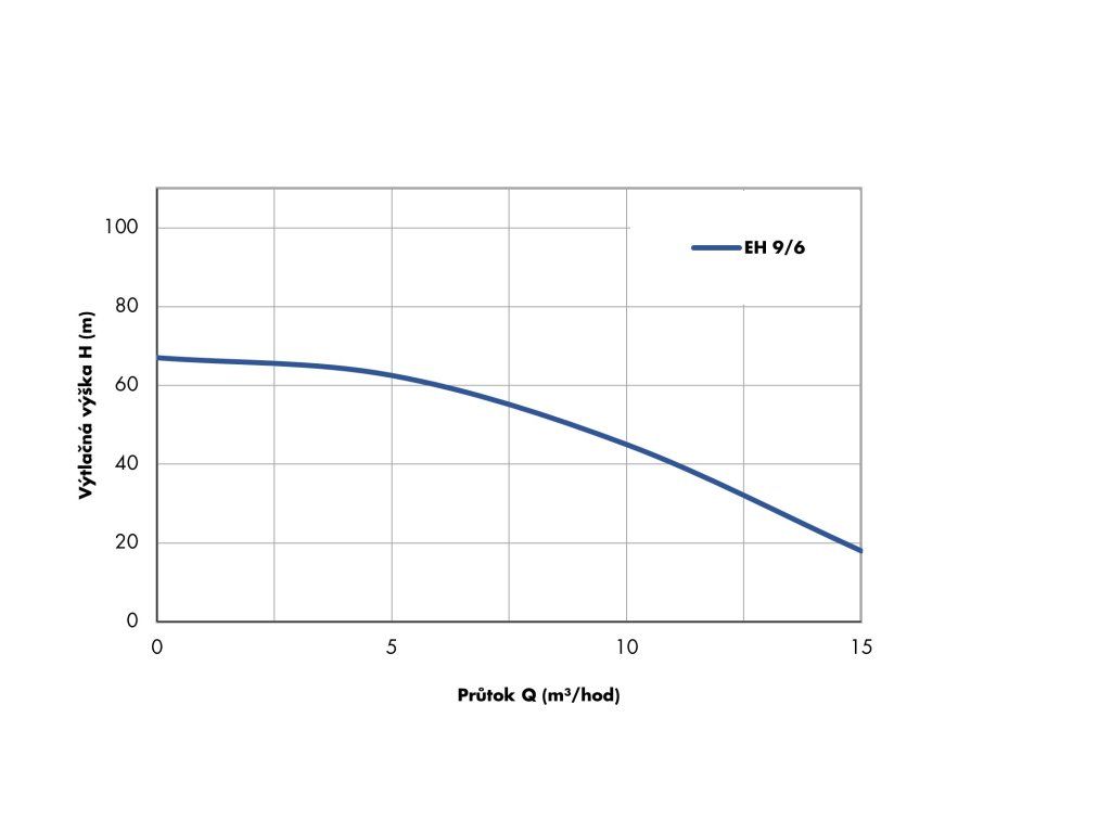
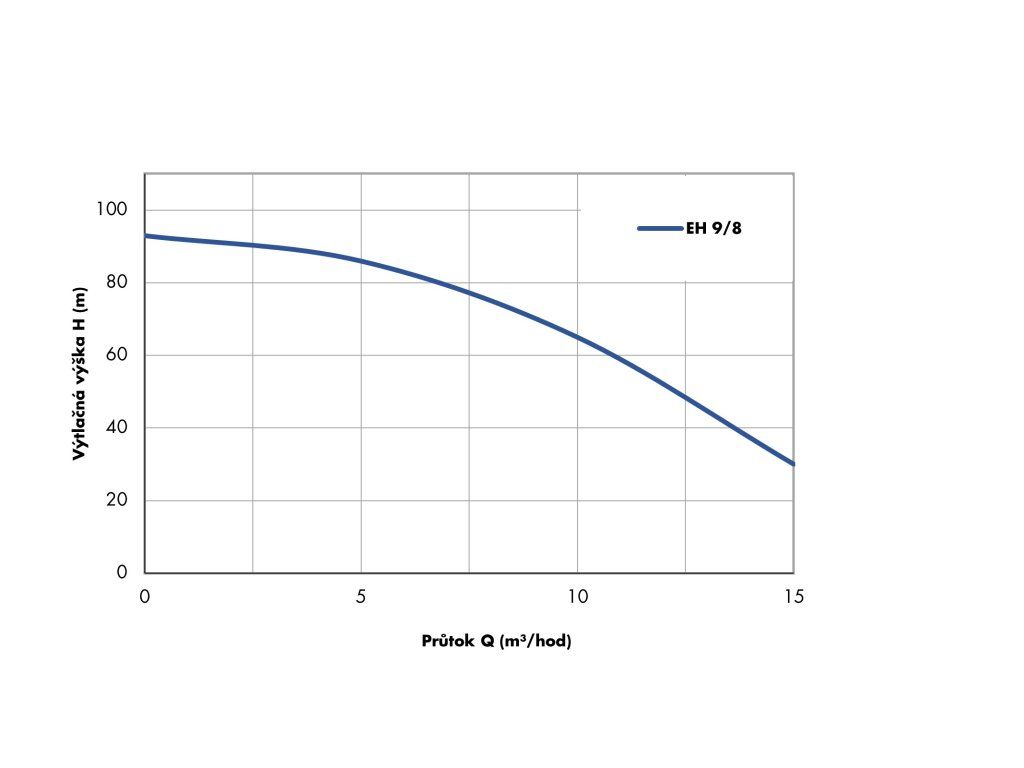
| Maximálny posun (m): | 57,90 |
| Vstupné napätie (V): | 3x400 |
| Menovitý výkon motora - P2 (kW): | 3 |
| Sacie hrdlo ("): | 2 |
| Výpustné hrdlo ("): | 6/4 |
| Sacia výška max. (m): | 8 |
| Certifikát na pitnú vodu: | ÁNO |
| Objem kontajnera (l): | 24 |
| Menovitý prúd (A): | 5,70 |
| Maximálna teplota média (°C): | 60 |
| Stupeň ochrany (IP): | 55 |
| Ochrana proti chodu nasucho: | NIE |
| Vlastný prepínač: | ÁNO |
| Regulácia rýchlosti: | ÁNO |
| Konštrukcia čerpadla: | horizontálne |
| Materiál obežného kolesa: | nehrdzavejúca oceľ |
| Zadná klapka: | ÁNO |
| Výrobca: | PUMPA |
| EAN: | 8596455025177 |
Diskusia
Buďte prvý, kto napíše príspevok k tejto položke.
